
网站首页 > 专利信息
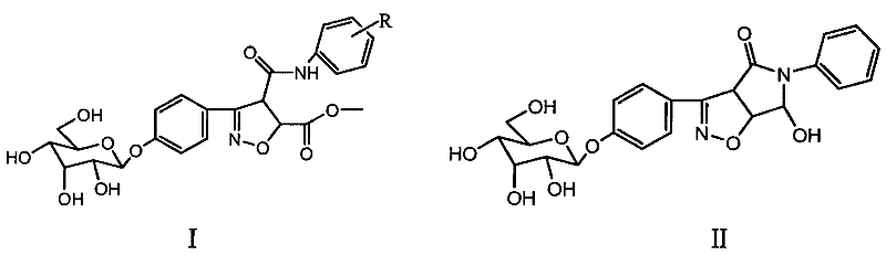
N-芳基-3-(4-β-D-吡喃阿洛糖苷苯基)-5-甲酰基异噁唑-4-甲酰胺的合成,发明公开了具有改善中枢神经系统功能的豆腐果苷类衍生物,及其制备方法。该类化合物具有良好的镇静、安眠、抗惊厥作用。目前已以药品名“神衰果素片”被收入2000年版《中国药典》。该类豆腐果苷类衍生物新药具有如下化学式(I)、(II)。本发明所提供的豆腐果苷类衍生物是以具有镇静、安眠、抗惊厥活性的植物活性单体豆腐果苷为母体化合物,根据药物构效分子学的原理进行结构修饰,设计并制备的对改善中枢神经系统功能具有高活性的化合物。
联系电话:028-87659663 028-85404682 028-85460925 邮箱:cdjz617@126.com
办公地址:四川省成都市武侯区科华街10号四川大学国家高新技术孵化平台609
成都川大技术转移集团有限公司
蜀ICP备11025552号-1
Copyright © 2007-2011 技术支持:成都网络公司-三以网络